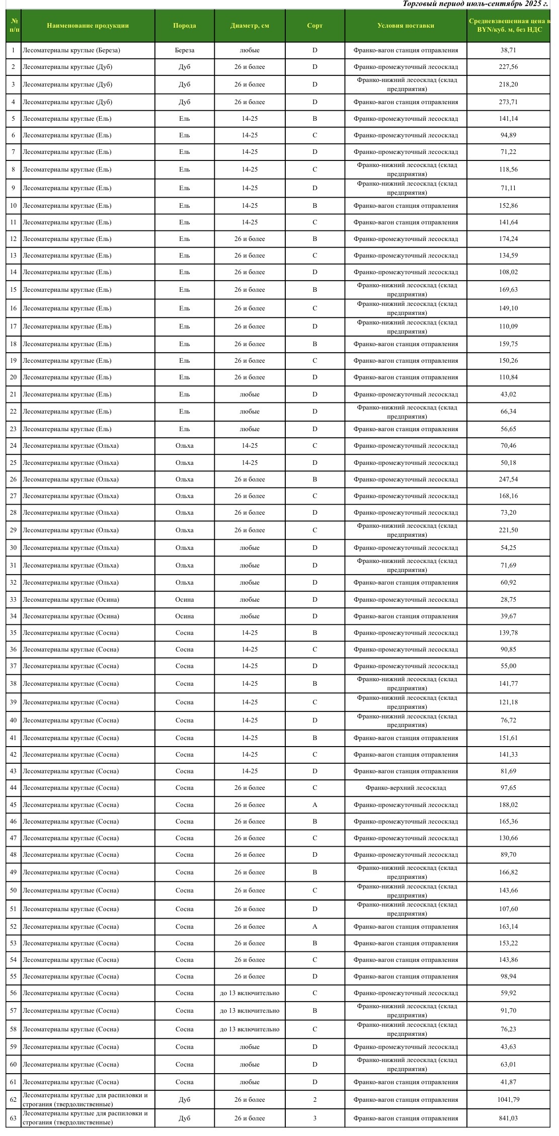
Биржевые котировки на лесоматериалы круглые в заготовленном виде для внутреннего рынка, реализуемые населению в соответствии с Указом Президента Республики Беларусь № 437 от 23.11.2020г. и приказом Министерства лесного хозяйства Республики Беларусь № 122 от 15.07.2021г. на IV квартал 2025 г
* - налоги начисляются сверх цены в размерах установленных действующим Законодательством по налогооблажению Республики Беларусь.
** - Цены на лесоматериалы круглые принимаются в соответствии с Указом Президента Республики Беларусь от 23.11.2020 г. №437.

